Standard Forms. BCREA works with BC's eight real estate boards, lawyers and other industry experts to draft and update the standard forms that are the backbone of real estate transactions. We provide ongoing REALTOR ® education related to the forms so consumers can have full confidence in the profession.. The British Columbia Real Estate Association (BCREA), in collaboration with the provincial Standard Forms Committee, BC's 11 real estate boards and other stakeholders, has updated the Property Disclosure Statement (PDS).. Standard Form Essentials: The Property Disclosure Statement. Coinciding with the release of the updated PDS is the.

Free California Property Disclosure Statement PDF

Commercial Property Disclosure Form For Residential US Legal Forms

Property disclosure statement residential bc pdf Fill out & sign online DocHub

FREE 10+ Sample Real Estate Disclosure Forms in PDF MS Word
British Columbia Property Conditional Disclosure Statement Residential

British Columbia Residential Property Disclosure Statement Legal Forms and Business Templates

Power Of Attorney What Is It

Wyoming Property Disclosure Statement Form Download Printable PDF Templateroller

Free Property Disclosure Statement PDF Word

What Is a Property Disclosure Statement? » Ria Mavrikos

FREE 10+ Sample Real Estate Disclosure Forms in PDF MS Word

Illinois Realtors Residential Real Property Disclosure Report 20202022 Fill and Sign

MD Maryland Residential Property Disclosure & Disclaimer Statement 20052022 Fill and Sign

Real Estate Investment Disclosure Form Seller's Property Disclosure Statement Review YouTube

Property condition disclosure statement pdf Fill out & sign online DocHub

S.C. Residential Property Condition Disclosure Statement

Florida sellers disclosure form 2023 Fill out & sign online DocHub

Property Condition Disclosure Statement printable pdf download

Free Missouri Property Disclosure Statement PDF

Property disclosure statement residential bc pdf Fill out & sign online DocHub
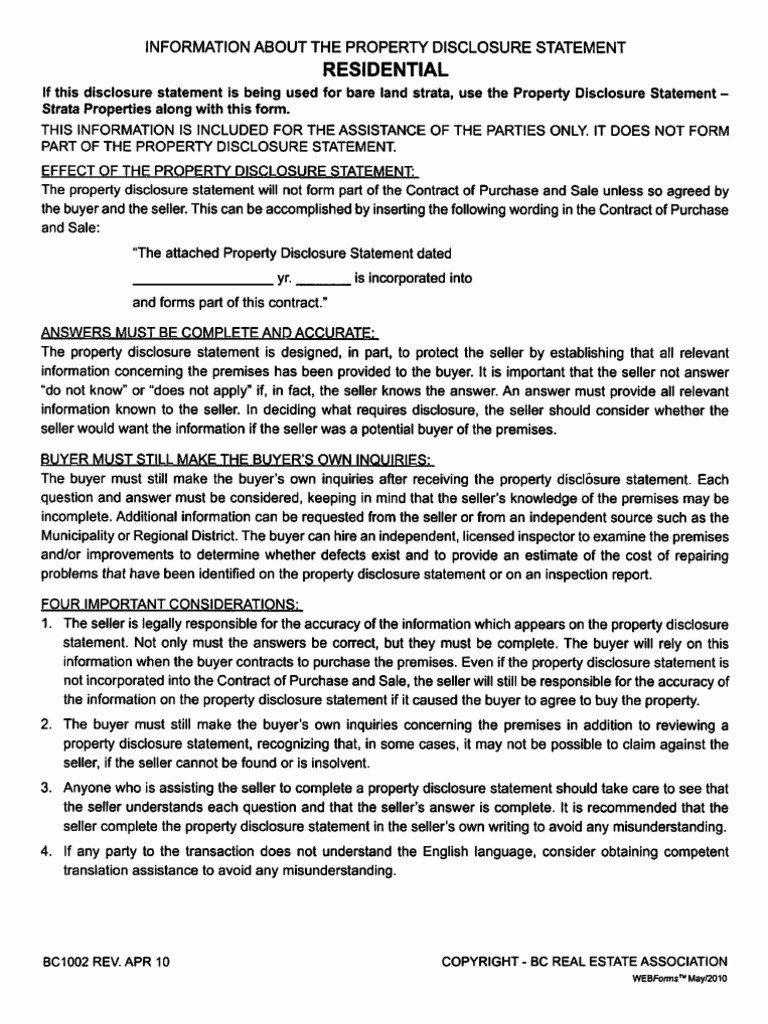
By Ellen Baragon, Guest Contributor As part of BCREA's Fall 2020 Standard Forms Release, ten revised standard forms will be released on September 16, 2020 The following is a summary of the revised standard forms with brief descriptions outlining why they were created and their intended use. Authority to Lease - CommercialThe Authority to Lease.. BC1002 REV. OCT 2017 COPYRIGHT - BC REAL ESTATE ASSOCIATION INFORMATION ABOUT THE PROPERTY DISCLOSURE STATEMENT RESIDENTIAL If this disclosure statement is being used for bare land strata, use the Property Disclosure Statement - Strata Properties along with this form. THIS INFORMATION IS INCLUDED FOR THE ASSISTANCE OF THE PARTIES ONLY.