Paridad descubierta de tasas de interés: Nueva evidencia para América Latina (2000-2015) Autor: Neyro, Jorge Lucio: Tipo de documento: Trabajo Final de Posgrado: Director: Kawamura, Enrique Lucio: Titulo Obtenido: Magister de la Universidad de Buenos Aires en Economía: Descriptores:. Downloadable! En este artículo analizamos la relación entre los retornos cambiarios y diferenciales de tasas de interés a través de la Paridad Descubierta de Tasas de Interés (UIP). Usamos panel de datos para 83 países entre 1980 y 2015. Las regresiones por efectos fijos demuestran que la UIP no se cumple, pero el impacto del diferencial de tasas de interés sobre los retornos cambiarios.

PPT Efecto Fisher (EF) PowerPoint Presentation, free download ID954226

Como afectan las decisiones de las tasas de interes en Forex YouTube
Presentacion de Paridad de Tasas de Interes PDF Arbitraje Interés

Sistema Financiero Internacional Paridad de las tasas de interés

Sistema Financiero Internacional Paridad de las Tasas de Interés

PPT Enfoque del Balance de Pagos Modelo de Arbitraje (Paridad de tasas de Interes

PPT Enfoque del Balance de Pagos Modelo de Arbitraje (Paridad de tasas de Interes
LA PARIDAD DE LA TASA DE INTERÉS.pptx Arbitraje Tipo de cambio

Las curiosidades de Liugi.Aussie Paridad de las tasas de interés

La paridad de tasas de interés Macroeconomía Internacional 9 Percepciones Económicas YouTube

PPT ECONOMÍA UNIDAD IV Canales de Transmisión de la Política PowerPoint

Altafid Insights Diferenciales de tasas de interés, expectativas de depreciación y prima por riesgo

Gbv P1 Tasas De InteréS
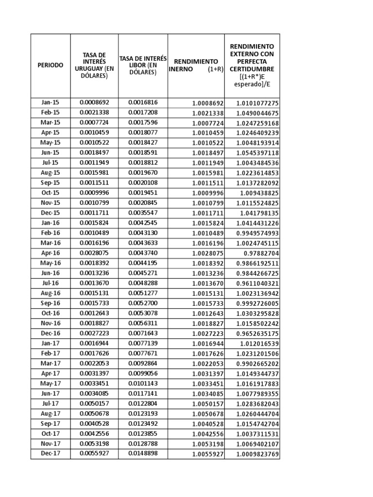
Paridad Descubierta de Tasas de Interés (Uruguay) PDF Agitación Naturaleza
La Paridad Cambiaria y La Tasa de Interés Interés Inflación

Ejemplos De Tasa De Interes Ejemplos De Tasas De Inters Ejemplo Mobile Legends

(PDF) La paridad de la tasa de interés en Colombia, 19812018
.jpg)
Guía sobre cómo calcular tasa de interés de un préstamo para empresas

mercado de tasas de interes

¿Qué es y cómo Funciona la Paridad de las Tasas de Interés Cubierta y Descubierta? Mira Cómo
En este artículo analizamos la relación entre los retornos cambiarios y diferenciales de tasas de interés a través de la Paridad Descubierta de Tasas de Interés (UIP). Usamos panel de datos para 83 países entre 1980 y 2015.. La paridad descubierta de tasas de interés (UIRP) y los diferenciales de inflación son dos conceptos clave en las finanzas internacionales que desempeñan un papel importante en la determinación de los tipos de cambio y los diferenciales de tasas de interés entre países. Comprender estos conceptos es crucial tanto para los inversionistas, economistas y formuladores de políticas, ya que.