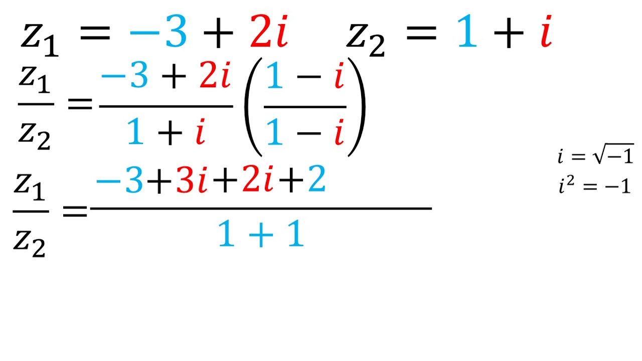
Transcripción del video. tenemos aquí esta expresión peliaguda pero en realidad lo único que queremos hacer es dividir estos dos números complejos este número complejo en azul y este número complejo en verde de hecho ya nos los graficaron por acá así que veamos ustedes puede notar que estos de hecho los dos números están en forma..

División de números complejos YouTube

División de números complejos Definición y ejemplo. YouTube

24. Ecuación con números complejos, conjugados, y división YouTube

División de números complejos Ejemplo 1 YouTube

División de números complejos, (2+3i)/(3+i) YouTube

DIVISIÓN de NÚMEROS COMPLEJOS SUPER FÁCIL 🤩 2 YouTube

División números complejos YouTube

División de Números Complejos YouTube

División de números complejos, utilizando uno de los mejores métodos. YouTube

Números Complejos Fórmulas y Explicaciones Matemáticas álgebra YouTube

División de números complejos YouTube

División de números complejos ejemplo 4 de 4 Álgebra Vitual YouTube

Cómo realizar división de números complejos. Complejos conjugados YouTube

División de números complejos YouTube

11. División de números complejos, MUY FÁCIL YouTube

División de números complejos. YouTube

PPT Los números complejos. PowerPoint Presentation, free download ID4846686

División de Números Complejos YouTube

VARIABLE COMPLEJA DIVISIÓN DE NÚMEROS COMPLEJOS YouTube

(2930) División de Números Complejos. OPERACIONES DE NÚMEROS COMPLEJOS. YouTube
Ejercicios de división de números complejos resueltos. Los siguientes ejercicios usan el proceso detallado arriba para resolver las divisiones de números complejos. Cada ejercicio tiene su respectiva solución, pero es recomendable que intentes resolver los ejercicios tú mismo antes de mirar la respuesta.. Aprende a multiplicar dos números complejos. Por ejemplo, multiplica (1+2i)⋅ (3+i). Un número complejo es cualquier número que puede escribirse como a + b i , donde i es la unidad imaginaria y a y b son números reales. Al multiplicar números complejos conviene recordar que las propiedades que usamos al realizar operaciones aritméticas.